焦距测量原理
目前最常用的焦距测试方法是放大法测试。其原理为:让位于平行光管物镜焦平面已知大小的分划板被光源照亮之后,经物镜发出一束带有分划像的平行光束,透过待测透镜或光学系统,让其成像(实像或虚像皆可)于其焦面。此时再经由中继系统和准直探测接收系统可计算出分化像的成像大小。传输通过软件计算直接输出其测试结果。

放大率法测量焦距原理
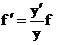
根据光学原理,我们可以得到焦距的计算公式如下:
其中
f':被测透镜的焦距。
y:分划板实际大小。
y':分划板成像后的大小。
f:平行光管物镜焦距。



